Beranda
/ Pengali Lagrange Contoh Soal / Https Journal Unsika Ac Id Index Php Supremum Article Download 1898 Pdf 9 - Download & view metode pengali lagrange as pdf for free.
Pengali Lagrange Contoh Soal / Https Journal Unsika Ac Id Index Php Supremum Article Download 1898 Pdf 9 - Download & view metode pengali lagrange as pdf for free.
Pengali Lagrange Contoh Soal / Https Journal Unsika Ac Id Index Php Supremum Article Download 1898 Pdf 9 - Download & view metode pengali lagrange as pdf for free.. Pada tanggal 31 maret 2013 setelah pt. Melaksanakan proses belajar mengajar b. Tiap titik p yang demikian adalah suatu titik kritis untuk masalah nilai ekstrim terkendala, dan ƛ yang berpadaan disebut pengali lagrange. 6 karena yang telah diketahui ialah nilai a, jadikan angka perbandingan a sebagai angka penyebut dan 20 sebagai pengali. Pada bulan januari 2020 dia bekerja sebagai karyawan harian di pt kali besar.
Pada video ini kita akan mengerjakan dua contoh dari persoalan menentukan nilai ekstrem dengan kendali dengan menggunakan metoda pengali lagrange. • metode pengali lagrange (3). Temukan informasi lengkap tentang contoh soal anggaran penjualan dan anggaran produksi. Tentukan siapa pemungut dan siapa yang dipungut. Kurikulum bagi guru berfungsi sebagai pedoman dalam ….
Metode Lagrange Multiplier Pdf Metode Lagrange Multiplier Lagrange Multiplier Kasus Optimasi Yang Memiliki Syarat Atau Batasan Yang Merupakan Masalah Course Hero from www.coursehero.com • sebuah perusahaan pengalengan ikan ingin membuat kaleng kemasan dari aluminium. Metode ini adalah cara menentukan titik maksimum dan minimum suatu fungsi yang diiringi dengan persyaratan atau sebagai contoh, seorang pengusaha ingin memaksimumkan keuntungan, tapi dibatasi oleh banyaknya bahan mentah yang tersedia, banyaknya. Jumlah faktor pengali lagrange yang digunakan sebanyak fungsi pembatas yang ada. Makanan dan minuman yang diharamkan wajib kita. Metode lagrange multiplier metode langrang digunakan untuk optimasi fungsi dengan kendala kesamaan: Komentar sepenuhnya menjadi tanggung jawab komentator seperti diatur dalam uu ite. Jadi peluang yang akan terambilnya kelereng putih dari kantong pertama dan kelereng hitam dari kantong kedua ialah 3 8 x 6 10 18 80 9 40 metode pengali lagrange diperluas untuk menyelesaikan masalah yang melibatkan lebih dari suatu persyaratan. 5.5.2 contoh soal menghitung potongan pajak penghasilan pph 21 pegawai atau karyawan tidak tetap.
Tetapi, masih merasa kurang dengan materi yang dipelajari atau belum yakin dengan hanya membaca materi saja dapat menjawab soal soal ujian nanti.
Pada video ini kita akan mengerjakan dua contoh dari persoalan menentukan nilai ekstrem dengan kendali dengan menggunakan metoda pengali lagrange. Pada tanggal 31 maret 2013 setelah pt. Perusahaan adidas membuat kaos dan sepatu. Multi variabel dengan kendala pertidaksamaan. Temukan informasi lengkap tentang contoh soal anggaran penjualan dan anggaran produksi. Menurut pendapat kamu soal penalaran yang bagaimana yang sulit dikerjakan? Tentukan vol volume ume maksimum dari sebuah kotak kotak tanpa tutup yang memiliki iki lluas uas permukaan 12 cm2. Setelah diukur, diameter kelereng andi ditunjukkan oleh gambar berikut. Untuk memaksimumkan atau meminimumkan terhadap kendala , selesaikan sistem persamaan untuk p dan ƛ. Segitiga sama kaki pelajaran matematika memang sangat menyenangkan dan menantang pada pembahasan kali ini kita akan mempelajari mengenai segitiga sama kaki beserta rumus sudut sifat luas dan contoh soalnya. Contoh soal dan pembahasannya : Tentukan nilai ekstrim (minimum dan maksmum) dari ( , ) = penyelesaian: Pada bulan januari 2020 dia bekerja sebagai karyawan harian di pt kali besar.
5 kondisi tersebut juga dapat disederhanakan menjadi 3 kondisi sebagai berikut: Setelah diukur, diameter kelereng andi ditunjukkan oleh gambar berikut. Multi variabel dengan kendala pertidaksamaan. Tiap titik p yang demikian adalah suatu titik kritis untuk masalah nilai ekstrim terkendala, dan ƛ yang berpadaan disebut pengali lagrange. Contoh soal pph pasal 21 dan jawabannya :
B1 Metode Pengali Lagrange Youtube from i.ytimg.com Apakah kalian akan menghadapi ujian akhir semester 2 dengan mata pelajaran geografi? Contoh soal pph pasal 21 dan jawabannya : Komentar sepenuhnya menjadi tanggung jawab komentator seperti diatur dalam uu ite. Andi akan mengukur volume sebuah kelereng. Tentukan vol volume ume maksimum dari sebuah kotak kotak tanpa tutup yang memiliki iki lluas uas permukaan 12 cm2. Melaksanakan proses belajar mengajar b. Tentukan nilai ekstrim (minimum dan maksmum) dari ( , ) = penyelesaian: Metode ini adalah cara menentukan titik maksimum dan minimum suatu fungsi yang diiringi dengan persyaratan atau sebagai contoh, seorang pengusaha ingin memaksimumkan keuntungan, tapi dibatasi oleh banyaknya bahan mentah yang tersedia, banyaknya.
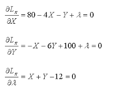
Berikut adalah bentuk lagrange expression dari persamaan 1, 2 dan 3.
Melaksanakan proses belajar mengajar b. Tentukan siapa pemungut dan siapa yang dipungut. Pada bulan januari 2020 dia bekerja sebagai karyawan harian di pt kali besar. Berikut adalah bentuk lagrange expression dari persamaan 1, 2 dan 3. Dengan tingkat signifikasi 10 ujilah hipotesis yang menyatakan bahwa hubungan antara biaya periklanan dan tingkat penjualan sedikitnya 40. Andi akan mengukur volume sebuah kelereng. Download & view metode pengali lagrange as pdf for free. Untuk memaksimumkan atau meminimumkan terhadap kendala , selesaikan sistem persamaan untuk p dan ƛ. Contoh soal dan jawaban lagrange. Contoh soal pph pasal 21 dan jawabannya : Segitiga sama kaki pelajaran matematika memang sangat menyenangkan dan menantang pada pembahasan kali ini kita akan mempelajari mengenai segitiga sama kaki beserta rumus sudut sifat luas dan contoh soalnya. Sinar membeli 85% saham pt. Hitunglah pph pasal 22 atas transaksi tersebut!
Berikut adalah bentuk lagrange expression dari persamaan 1, 2 dan 3. Metode lagrange dan mekanika hamilton. Tentukan siapa pemungut dan siapa yang dipungut. Contoh soal dan pembahasannya : Jenis makanan yang termasuk haram adalah.
Metode Pengali Lagrange Jlk9w3dv0345 from idoc.pub Contoh soal pengali lagrange satu kendala kalkulus. Pada tanggal 31 maret 2013 setelah pt. 5 kondisi tersebut juga dapat disederhanakan menjadi 3 kondisi sebagai berikut: Semua angka sebelum faktor pengali pada notasi ilmiah merupakan angka penting. Konsumsi konsumen saat mencapai kepuasan maksimum pakai metode lagrange. Temukan informasi lengkap tentang contoh soal anggaran penjualan dan anggaran produksi. Untuk memaksimumkan atau meminimumkan terhadap kendala , selesaikan sistem persamaan untuk p dan ƛ. Tentukan nilai ekstrim (minimum dan maksmum) dari ( , ) = penyelesaian:
Metode ini adalah cara menentukan titik maksimum dan minimum suatu fungsi yang diiringi dengan persyaratan atau sebagai contoh, seorang pengusaha ingin memaksimumkan keuntungan, tapi dibatasi oleh banyaknya bahan mentah yang tersedia, banyaknya.
Download & view metode pengali lagrange as pdf for free. Konsumsi konsumen saat mencapai kepuasan maksimum pakai metode lagrange. Tentukan nilai ekstrim (minimum dan maksmum) dari ( , ) = penyelesaian: Kendala pada soal di atas adalah. Hitunglah pph pasal 22 atas transaksi tersebut! Dengan tingkat signifikasi 10 ujilah hipotesis yang menyatakan bahwa hubungan antara biaya periklanan dan tingkat penjualan sedikitnya 40. Andi akan mengukur volume sebuah kelereng. Contoh soal dan jawaban lagrange. Perusahaan adidas membuat kaos dan sepatu. 5 kondisi tersebut juga dapat disederhanakan menjadi 3 kondisi sebagai berikut: Diskusikan bersama teman atau saudaramu. Segitiga sama kaki pelajaran matematika memang sangat menyenangkan dan menantang pada pembahasan kali ini kita akan mempelajari mengenai segitiga sama kaki beserta rumus sudut sifat luas dan contoh soalnya. Metode lagrange multiplier metode langrang digunakan untuk optimasi fungsi dengan kendala kesamaan:
Berbagi
Posting Komentar
untuk "Pengali Lagrange Contoh Soal / Https Journal Unsika Ac Id Index Php Supremum Article Download 1898 Pdf 9 - Download & view metode pengali lagrange as pdf for free."
Posting Komentar untuk "Pengali Lagrange Contoh Soal / Https Journal Unsika Ac Id Index Php Supremum Article Download 1898 Pdf 9 - Download & view metode pengali lagrange as pdf for free."