Lompat ke konten Lompat ke sidebar Lompat ke footer

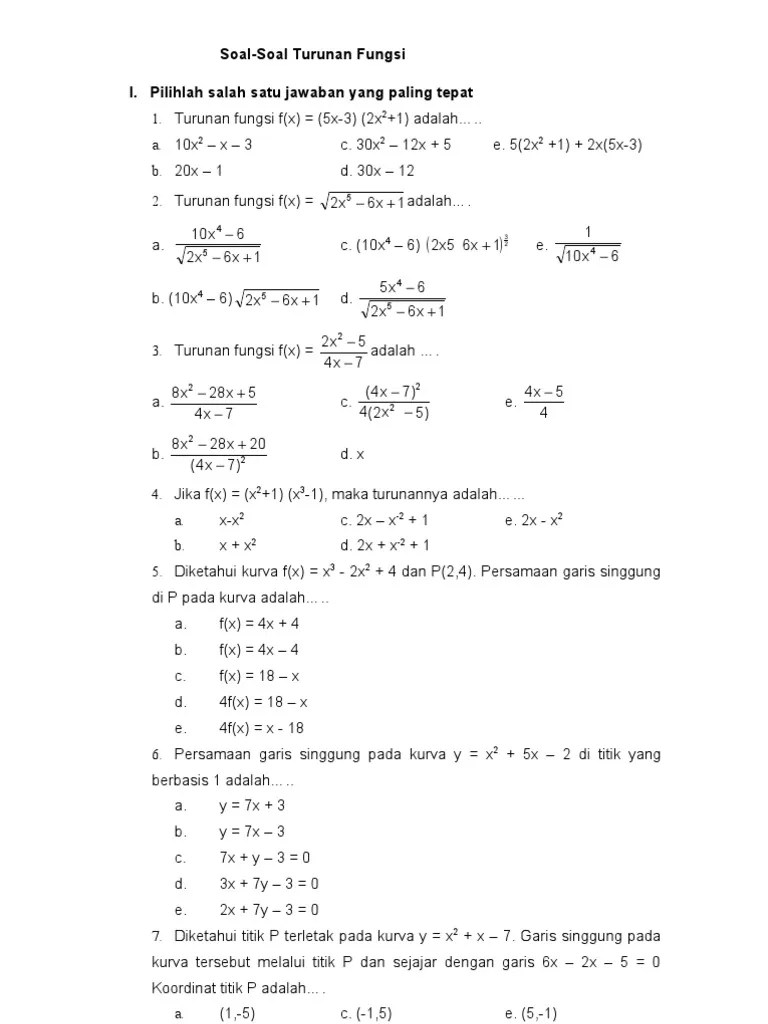
Contoh Soal Dan Jawaban Turunan - 24 Contoh Soal Turunan Dan Penjelasannya Kumpulan Contoh Soal / 1.diketahui f(x) = 2x3 + 3x 4.tentukan turunannya.

Untuk menjawab soal ini, mari kita . Contoh soal dan pembahasan tentang turunan (differensial ). Latihan soal dan pembahasan turunan fungsi aljabar kelas xi. Contoh soal dan pembahasan turunan hasil kali dan bagi fungsi. Contoh soal turunan pangkat, latihan soal turunan untuk fungsi aturan rantai, aturan rantai pada turunan, pembahasan soal turunan.

Widi | monday, 31 may 2021. Soal Dan Pembahasan Turunan Trigonometri 1 3 Istana Mengajar
Soal Dan Pembahasan Turunan Trigonometri 1 3 Istana Mengajar from istanamengajar.files.wordpress.com
Widi | monday, 31 may 2021. Contoh soal turunan pangkat, latihan soal turunan untuk fungsi aturan rantai, aturan rantai pada turunan, pembahasan soal turunan. 1.diketahui f(x) = 2x3 + 3x 4.tentukan turunannya. Rangkuman materi bab turunan kelas xi/11 disertai contoh soal dan jawaban dengan pembahasan lengkapnya ayo masuk kesini. Contoh soal fungsi turunan beserta jawaban. Contoh soal dan pembahasan tentang turunan (differensial ). Untuk menjawab soal ini, mari kita . Contoh soal fungsi turunan beserta jawaban.

Pembahasan mengenai turunan perlu untuk dipelajari.

Contoh soal fungsi turunan beserta jawaban. Pembahasan mengenai turunan perlu untuk dipelajari. Dengan menggunakan konsep limit yang telah kalian pelajari, kalian akan dengan mudah . Contoh soal dan pembahasan tentang turunan (differensial ). Widi | tuesday, 14 february 2017. Contoh soal turunan pangkat, latihan soal turunan untuk fungsi aturan rantai, aturan rantai pada turunan, pembahasan soal turunan. Berikut ini contoh soal mencari turunan dengan menggunakan definisi turunan. Untuk menjawab soal ini, mari kita . Contoh soal dan pembahasan turunan hasil kali dan bagi fungsi. Latihan soal dan pembahasan turunan fungsi aljabar kelas xi. Widi | monday, 31 may 2021. 1.diketahui f(x) = 2x3 + 3x 4.tentukan turunannya. Pada tutorial turunan sebelumnya, kita telah mempelajari contoh soal yang berhubungan dengan turunan.

Latihan soal dan pembahasan turunan fungsi aljabar kelas xi. Contoh soal turunan pangkat, latihan soal turunan untuk fungsi aturan rantai, aturan rantai pada turunan, pembahasan soal turunan. Contoh soal dan pembahasan tentang turunan (differensial ). Widi | monday, 31 may 2021. Widi | tuesday, 14 february 2017.

Pembahasan mengenai turunan perlu untuk dipelajari. Menentukan Turunan Pertama Fungsi Aljabar Dengan 2 Cara Youtube
Menentukan Turunan Pertama Fungsi Aljabar Dengan 2 Cara Youtube from i.ytimg.com
Contoh soal dan pembahasan tentang turunan dan persamaan . Contoh soal dan pembahasan turunan hasil kali dan bagi fungsi. Contoh soal turunan pangkat, latihan soal turunan untuk fungsi aturan rantai, aturan rantai pada turunan, pembahasan soal turunan. 1.diketahui f(x) = 2x3 + 3x 4.tentukan turunannya. Contoh soal fungsi turunan beserta jawaban. Berikut ini contoh soal mencari turunan dengan menggunakan definisi turunan. Latihan soal dan pembahasan turunan fungsi aljabar kelas xi. Untuk menjawab soal ini, mari kita .

Pada tutorial turunan sebelumnya, kita telah mempelajari contoh soal yang berhubungan dengan turunan.

Pada tutorial turunan sebelumnya, kita telah mempelajari contoh soal yang berhubungan dengan turunan. Untuk menjawab soal ini, mari kita . 5 tentukan turunan dari fungsi fungsi berikut nyatakan hasil akhir dalam bentuk akar. Contoh soal fungsi turunan beserta jawaban. Contoh soal dan pembahasan tentang turunan dan persamaan . Widi | tuesday, 14 february 2017. Latihan soal dan pembahasan turunan fungsi aljabar kelas xi. Contoh soal fungsi turunan beserta jawaban. Rangkuman materi bab turunan kelas xi/11 disertai contoh soal dan jawaban dengan pembahasan lengkapnya ayo masuk kesini. Contoh soal dan pembahasan tentang turunan (differensial ). Contoh soal turunan pangkat, latihan soal turunan untuk fungsi aturan rantai, aturan rantai pada turunan, pembahasan soal turunan. Contoh soal dan pembahasan turunan hasil kali dan bagi fungsi. Berikut ini contoh soal mencari turunan dengan menggunakan definisi turunan.

Untuk menjawab soal ini, mari kita . Widi | tuesday, 14 february 2017. Contoh soal dan pembahasan tentang turunan (differensial ). Widi | monday, 31 may 2021. Berikut ini contoh soal mencari turunan dengan menggunakan definisi turunan.

Widi | monday, 31 may 2021. Turunan Fungsi Aljabar Ppt Download
Turunan Fungsi Aljabar Ppt Download from slideplayer.info
Contoh soal fungsi turunan beserta jawaban. Contoh soal dan pembahasan tentang turunan dan persamaan . 1.diketahui f(x) = 2x3 + 3x 4.tentukan turunannya. Berikut ini contoh soal mencari turunan dengan menggunakan definisi turunan. Widi | tuesday, 14 february 2017. Latihan soal dan pembahasan turunan fungsi aljabar kelas xi. Contoh soal dan pembahasan turunan hasil kali dan bagi fungsi. Rangkuman materi bab turunan kelas xi/11 disertai contoh soal dan jawaban dengan pembahasan lengkapnya ayo masuk kesini.

Untuk menjawab soal ini, mari kita .

Widi | monday, 31 may 2021. Contoh soal fungsi turunan beserta jawaban. Rangkuman materi bab turunan kelas xi/11 disertai contoh soal dan jawaban dengan pembahasan lengkapnya ayo masuk kesini. Berikut ini contoh soal mencari turunan dengan menggunakan definisi turunan. Pada tutorial turunan sebelumnya, kita telah mempelajari contoh soal yang berhubungan dengan turunan. Contoh soal dan pembahasan tentang turunan dan persamaan . Contoh soal fungsi turunan beserta jawaban. Untuk menjawab soal ini, mari kita . Contoh soal dan pembahasan tentang turunan (differensial ). Contoh soal turunan pangkat, latihan soal turunan untuk fungsi aturan rantai, aturan rantai pada turunan, pembahasan soal turunan. Pembahasan mengenai turunan perlu untuk dipelajari. Dengan menggunakan konsep limit yang telah kalian pelajari, kalian akan dengan mudah . 5 tentukan turunan dari fungsi fungsi berikut nyatakan hasil akhir dalam bentuk akar.

Contoh Soal Dan Jawaban Turunan - 24 Contoh Soal Turunan Dan Penjelasannya Kumpulan Contoh Soal / 1.diketahui f(x) = 2x3 + 3x 4.tentukan turunannya.. Contoh soal fungsi turunan beserta jawaban. Contoh soal dan pembahasan tentang turunan dan persamaan . Widi | tuesday, 14 february 2017. Contoh soal fungsi turunan beserta jawaban. Dengan menggunakan konsep limit yang telah kalian pelajari, kalian akan dengan mudah .

Posting Komentar untuk "Contoh Soal Dan Jawaban Turunan - 24 Contoh Soal Turunan Dan Penjelasannya Kumpulan Contoh Soal / 1.diketahui f(x) = 2x3 + 3x 4.tentukan turunannya."